近年来,消费者对天然产品的偏好显著增长。自然性偏好指个体倾向于认为天然产品优于人工或合成替代品,或认为天然产品更健康、更值得信赖。这种偏好体现在健康、食品及日常消费选择等多个领域(Billet et al., 2023; Lacroix et al., 2021; Li & Cao, 2020, 2022; Nadricka et al., 2024; Scott & Rozin, 2020)。公正世界信念是个体对整个社会公平与正义的稳定信念,可分为个人公正世界信念与一般公正世界信念。既有研究提示公正世界信念可能与环保和可持续性消费相关(Bègue, 2025; D'Souza et al.2020),但结论不一致且多将公正世界信念视为整体,忽视了个人公正世界信念与一般公正世界信念在日常选择(如自然性偏好)中的差异性,同时关于“信念—认知—行为”路径的整合性实证较少。厘清公正世界信念各维度及认知加工在自然性偏好中的作用,有助于完善环境与消费心理理论,并为提升可持续性与健康消费选择提供有针对性的干预策略。
近日,王园园教授团队在Journal of Environmental Psychology(IF=7.0)发表标题为“Divergent mechanisms linking belief in a just world to naturalness preference: The roles of rationalism and holistic thinking”的文章,该研究基于全国性问卷调查,首次检验了公正世界信念的各维度与自然性偏好之间的关联机制,并进一步分析了理性主义和整体思维在其中所发挥的作用。

研究以价值—信念—规范(Value–Belief–Norm,VBN)理论为重要理论基础,从社会信念与认知加工的角度,探讨个体自然性偏好形成的心理路径。VBN理论强调,个体的选择与行为并非孤立产生,而是根植于其内在的价值观与信念体系(Xiaojie et al., 2017; Wyss et al., 2023),并可能通过多种心理过程对具体选择产生影响。基于这一理论视角,研究将公正世界信念作为关键社会信念变量加以考察,并进一步区分其不同维度——个人公正世界信念与一般公正世界信念。在此基础上,研究引入理性主义与整体思维两种认知加工方式,系统考察不同信念维度与不同认知方式如何共同作用于自然性偏好,从而刻画公正世界信念影响自然性偏好的多重心理路径(见图1)。

图1:个人公正世界信念、一般公正世界信念、理性主义、整体思维与自然性偏好之间关联的假设模型
研究数据来源于全国在线问卷调查,共纳入6517名有效被试,覆盖中国东部、中部、西部和东北四大区域。研究采用结构方程模型,区分考察了个人公正世界信念与一般公正世界信念,并将理性主义与整体思维纳入分析框架,以探讨不同认知路径在自然性偏好形成中的作用机制。
研究结果显示,个人公正世界信念与自然性偏好呈显著正相关(β = 0.159, p < 0.001),而一般公正世界信念与自然性偏好之间未发现直接关联(β = -0.001, p = 0.978)。
通过深入的中介分析,研究发现整体思维在不同维度的公正世界信念与自然性偏好之间均发挥了显著的间接作用。值得注意的是,理性主义仅在个人公正世界信念的路径中表现出间接影响,并与整体思维共同构成潜在的顺序中介机制(见图2)。这一发现不仅加深了我们对公正世界信念不同维度如何影响个体认知与偏好的理解,也揭示了认知路径的多样性在形成自然性偏好中的核心作用。

图2:自然性偏好的影响因素分析。标准化路径系数(左)与非标准化中介效应(右)。 GBJW =一般公正世界信念, PBJW =个人公正世界信念,R=理性主义,HT=整体思维,NP=自然性偏好。
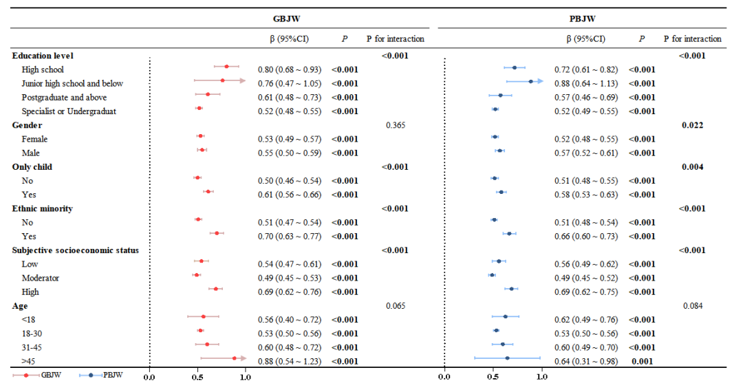
进一步的亚组分析结果显示,公正世界信念与自然性偏好之间的关系在不同社会人口学特征下存在显著异质性。具体而言,一般公正世界信念与自然性偏好的关联在教育程度较低、独生子女、少数民族以及社会经济地位较高的个体中更为显著。个人公正世界信念在部分亚组中呈现出类似趋势,其显著关联主要集中于男性、教育程度较低、独生子女、少数民族及高主观社会经济地位的个体。相比之下,年龄未对一般公正世界信念和个人公正世界信念与自然性偏好之间的关系产生显著调节作用,表明该关联在不同年龄群体中相对稳定(见图3),提示未来研究与实践中有必要针对这些群体制定更加精细化和差异化的干预策略。

图3:采用线性回归模型进行亚组分析,模型已调整性别、年龄、教育水平、种族、家庭结构和社会经济地位。圆圈表示各亚组的β系数,水平线表示95%置信区间(CIs),垂直虚线表示β =0,箭头指示超出绘图范围的置信区间。
研究首次探讨了公正世界信念如何通过理性主义和整体思维塑造个体的自然性偏好。研究结果表明,个人公正世界信念与自然性偏好呈正相关,而一般公正世界信念则无此关联。中介分析进一步发现,理性主义与整体思维在二者之间发挥间接作用,提示社会信念可能通过认知加工路径转化为具体的偏好选择。
这些发现明确区分了公正世界信念的不同维度,并深入探讨其与认知加工方式(如理性主义与整体思维)如何共同作用于自然性偏好的心理机制。这一创新性视角为理解个体在健康选择、可持续性决策以及环境行为中的偏好提供了全新的理论框架,也为未来相关领域的研究提供了重要的理论指导,尤其是在促进健康行为和可持续发展决策的设计与应用方面。
本研究亦存在一定局限:其一,横断面设计限制了因果推论,未来可通过纵向或实验研究加以验证;其二,自我报告测量可能引入主观偏差,后续研究可结合行为指标或多方法测量;其三,尚有其它潜在心理机制有待进一步探索。
原文链接:https://url.scnu.edu.cn/record/view/index.html?key=d860098fe580b475ef5861530073f8c5
本研究第一作者为华南师范大学心理学院硕士生孟芸,共同第一作者为华南师范大学心理学院博士生张正,奥克兰大学医学与健康科学学院博士生谢朝阳和华南师范大学心理学院王园园教授为共同通讯作者。该研究获得华南师范大学“冲一流、补短板、强特色”心理学关键学科基金、国家自然科学基金(No. 32571271)、广东省基础与应用基础研究基金(No. 2025A1515011554)、广东省哲学社会科学规划基金(No. GD25YXL09)、广州市哲学社科规划课题项目基金(No. 2025GZYB21)和广东省脑认知与人的素质发展基础学科研究中心基金(No. 2024B0303390003)的资助。
文章来源:https://url.scnu.edu.cn/record/view/index.html?key=a8f83590c6f3740bd5c771885312a281